NOVETATS
POSICIÓ RELATIVA ENTRE DUES RECTES
|
26/2/25 |
Rectes donades en equació general |
|
L'aplicació genera dues rectes expressades en equació general. La posicicó relativa es concreta mitjançant la discussió del sistema format per les equacions de les dues rectes.
|
|
|
El pots trobar a: 1r BATX CCNN |
|
TOTES LES RAONS TRIGONOMÈTRIQUES
|
10/1/25 |
Explicació gràfica |
|
L'aplicació et permet veure l'evolució de TOTES les raons trigonomètriques d'un angle. Mou el punt que es troba damunt la circumferència goniomètrica (radi 1 unitat) i podràs observar com van canviant les raons.
|
|
|
El pots trobar a: 1r BATX CCNN |
|
EXTREURE FACTORS D'UN RADICAL
|
24/10/24 |
Generador d'exercicis |
|
L'aplicació et genera arrels i cal extreure a fora de l'arrel el major nombre de factors possible.
|
|
|
El pots trobar a: 4art ESO i 1r BATX CCNN |
|
RACIONALITZAR
|
1/10/24 |
Racionalitzar fraccions |
|
L'aplicació et genera fraccions amb arrels al denominador que cal racionalitzar.
|
|
|
El pots trobar a: 4art ESO i 1r BATX CCNN |
|
CÀLCUL DE L'ERROR EN FER UNA APROXIMACIÓ
|
18/9/24 |
Error absolut, relatiu i percentual |
|
L'aplicació et genera dos valors decimals, un d'exacte i un altre d'aproximat. Clicant els botons de ERROR ABSOLUT, ERROR RELATIU o ERROR PERCENTUAL pots veure l'error que s'ha comès en cada cas. Clicant damunt dels càlculs es tornaran a ocultar.
|
|
|
El pots trobar a: 4art ESO i 1r BATX CCNN |
|
INTERVAL - REPRESENTACIÓ GRÀFICA
|
11/9/24 |
Identificar la representació gràfica |
|
L'aplicació et proposa un interval i tu hauràs d'identificar la representació gràfica que li correspon.
Amb el lliscador pots veure les 13 possibilitats que et proposa l'aplicació. Cal que en triïs una i l'escriguis en el requadre. Clica COMPROBAR i sabràs si has encertat o no. Quan cliquis NOU EXERCICI es generarà un nou exercici. |
|
|
El pots trobar a: 4art ESO i 1r BATX CCNN |
|
REPRESENTACIÓ GRÀFICA - INTERVAL
|
11/9/24 |
Identificar l'interval |
|
L'aplicació et proposa un zona acolorida i tu hauràs d'identificar l'interval que li correspon.
Amb el lliscador pots veure les 13 possibilitats que et proposa l'aplicació. Cal que en triïs una i l'escriguis en el requadre. Clica COMPROBAR i sabràs si has encertat o no. Quan cliquis NOU EXERCICI es generarà un nou exercici. |
|
|
El pots trobar a: 4art ESO i 1r BATX CCNN |
|
ANGLE ENTRE DOS VECTORS
|
28/2/24 |
Com determinar l'angle format per dos vectors |
|
L'aplicació genera dos vectors del pla i seguidament pots veure tots els càlculs per a determinar l'angle format pels vectors.
|
|
|
El pots trobar a: 1r BATX CCNN i 2n BATX CCSS |
|
REDUCCIÓ D'ANGLES AL 1r QUADRANT
|
23/1/24 |
Càlcul del sinus i el cosinus d'un angle reduint-lo al 1r quadrant |
|
L'aplicació et facilita calcular el sinus i el cosinus de determinats angles en funció d'altres angles del primer quadrant.
Pots moure el punt vermell per estudiar els diferents angles. |
|
|
El pots trobar a: 1r BATX CCNN |
|
INTEGRAL INDEFINIDA
|
8/1/24 |
Integrador |
|
L'aplicació ens permet escriure la funció que vols integrar.
|
|
|
El pots trobar a: 2n BATX CCNN |
|
ESTRELLA POLAR
|
23/12/23 |
Icosaedre estrellat |
|
Videotutorial per a construir una estrella (icosaedre estrellat) creada pel Francesc Forcada utilitzant 30 mòduls. Vídeo enllaçat amb el canal de youtube PAPIROmates.
|
|
|
El pots trobar a: PAPIROFLÈXIA |
|
NOTACIÓ CIENTÍFICA
|
1/10/23 |
Exercicis ThatQuiz |
|
Exercicis tipus test en els que has de triar la solució correcta.
|
|
|
El pots trobar a: 1r BATX CCNN |
|
PROJECCIÓ D'UN VECTOR SOBRE UN ALTRE
|
16/3/23 |
Visió gràfica |
|
L'aplicació ens permet visualitzar gràficament el resultat que fem quan calculem la projecció d'un vector sobre un altre.
|
|
|
El pots trobar a: 2n BATX CCNN |
|
EQUACIÓ DE LA RECTA. TRANSFORMACIONS
|
16/3/23 |
De general a vectorial i paramètrica |
|
L'aplicació genera una recta en equació general o implícita que posteriorment podràs transformar en equació vectorial i equació paramètrica triant un dels diversos mètodes que et proposa.
|
|
|
El pots trobar a: 2n BATX CCNN |
|
VECTOR FIX I VECTOR LLIURE
|
5/3/23 |
Visualització dels vectors a l'espai |
|
L'aplicació et permet entrar un vector fix i veure com es pot traslladar el vector lliure.
|
|
|
El pots trobar a: 2n BATX CCNN |
|
COMPONENTS D'UN VECTOR A L'ESPAI
|
5/3/23 |
Visualització d'un vector a l'espai |
|
L'aplicació et permet entrar un vector i veure com s'ha construit a partir de les tres components bàsiques.
|
|
|
El pots trobar a: 2n BATX CCNN |
|
EXERCICIS D'INTEGRALS IMMEDIATES
|
8/1/23 |
Full pdf amb 20 exercicis d'integrals immediates amb solucions.
|
|
|
El pots trobar a: 2n BATX CCNN
|
|
ESTRELLA SUPERNOVA
|
29/1/22 |
Icosaedre estrellat |
|
Videotutorial per a realitzar una estrella de 12 punxes. L'estrella és un icosaedre estrellat fet amb 30 mòduls de papers quadrats 9x9 cm. L'estrella es pot plegar sobre si mateixa convertint-se en una estrella en forma de sol de 10 puntes. El disseny i la creació és del Francesc Forcada. Vídeo enllaçat amb el canal de youtube PAPIROmates.
|
|
|
El pots trobar a: PAPIROFLÈXIA |
|
ESTEL SAGRADA FAMÍLIA
|
|
Dodecaedre estrellat |
|
Videotutorial amb l'elaboració l'estel que corona la torre de Maria de la Basílica de la Sagrada Família (Barcelona). Aquesta estrella té forma de dodecaedre estrellat amb les puntes formant una piràmide de base pentagonal. L'estrella està formada per 30 mòduls fets amb paper 7'43x21 cm. Idea original del Francesc Forcada. Vídeo enllaçat amb el canal de youtube PAPIROmates.
|
|
|
El pots trobar a: PAPIROFLÈXIA |
|
MATRIU INVERSA
|
10/2/22 |
Resolució pas a pas |
|
L'aplicació et genera una matriu d'ordre 3 i, seguidament, pots veure pas a pas com es calcula la matriu inversa.
|
|
|
El pots trobar a: 2n BATX CCNN |
|
MATRIU DELS ADJUNTS
|
10/2/22 |
Resolució pas a pas |
|
L'aplicació et genera una matriu d'ordre 3 i, seguidament, pots veure pas a pas com es calcula la matriu dels adjunts o matriu adjunta.
|
|
|
El pots trobar a: 2n BATX CCNN |
|
DETERMINANT D'UNA MATRIU D'ORDRE 3
|
7/2/22 |
Resolució pas a pas |
|
Pots veure com es resol el determinant d'una matriu d'ordre 3 pas a pas utilitzant la regla de Sarrus. Pots generar tants exercicis com vulgis.
|
|
|
El pots trobar a: 2n BATX CCNN |
|
POTÈNCIA n-èssima D'UNA MATRIU
|
2/2/21 |
Visualitzador de potències |
|
A l'aplicació pots entrar els elements d'una matriu d'ordre 2 ó 3 i anar calculant les potències successives fins a un exponent 30. Aquests càlculs et permetran veure amb més facilitat la construcció de la matriu n-èssima.
|
|
|
El pots trobar a: 2n BATX CCNN i MACS |
|
ESTRELLA SHIRA
|
24/1/21 |
Estrella hexagonal |
|
Videotutorial d'una estrella hexagonal. Vídeo enllaçat amb el canal de youtube PAPIROmates.
|
|
|
El pots trobar a: PAPIROFLÈXIA |
|
DERIVADA DEL PRODUCTE I QUOCIENT DE DUES FUNCIONS
|
5/5/20 |
Resolució pas a pas |
|
L'aplicació et permet entrar dues funcions i et resol la derivada del producte i del quocient amb els passos resolutius intermitjos.
|
|
|
El pots trobar a: BATX |
|
PROGRAMACIÓ LINEAL
|
3/5/20 |
EXERCICI 6 de les PAU del setembre 2019 |
|
Explicació de com resoldre aquest problema típic de programació lineal. Vídeo enllaçat amb el canal de youtube Illa Simpatia.
|
|
|
El pots trobar a: 2n BATX MACS |
|
PROGRAMACIÓ LINEAL
|
3/5/20 |
PROBLEMA 5 de les PAU del juny 2019 |
|
Explicació de com resoldre aquest problema típic de programació lineal. Vídeo enllaçat amb el canal de youtube Illa Simpatia.
|
|
|
El pots trobar a: 2n BATX MACS |
|
ESTRELLA DE NADAL
|
21/12/19 |
Estrella hexagonal |
|
Videotutorial d'una estrella hexagonal. Vídeo enllaçat amb el canal de youtube PAPIROmates.
|
|
|
El pots trobar a: PAPIROFLÈXIA |
|
EQUACIONS AMB RADICAL
|
6/12/19 |
Com sorgeixen les solucions fantasma d'una equació? |
|
L'aplicació permet introduir una equació amb una arrel quadrada i comprovar algebraicament i gràficament quines solucions corresponen a l'equació original i quines són les "solucions fantasma" que cal descartar. Crec, que l'animació gràfica ajuda a entendre millor quines solucions cal descartar. Compte, per raons, de funcionament, només pots introduir en els requadres polinomis de grau dos com a màxim.
|
|
|
El pots trobar a: 1r BATX CCNN i 1r BATX MACS |
|
PIRÀMIDE QUADRANGULAR
|
29/5/19 |
Superfície i volum |
|
L'aplicació et permet generar piràmides de base quadrada que pots veure en 3D (selecciona ulleres 3D en el menú de la pantalla 3D). Quan actives el seu desenvolupament pla la figura es desplegarà i apareixeran els càlculs de la superfície i el volum.
|
|
|
El pots trobar a: 2n ESO |
|
PRISMA RECTANGULAR
|
26/5/19 |
Superfície i volum |
|
L'aplicació genera prismes rectangulars que pots veure en 3D (selecciona ulleres 3D en el menú de la pantalla 3D). Quan actives el seu desenvolupament pla la figura es desplegarà i apareixeran els càlculs de la superfície i el volum.
|
|
|
El pots trobar a: 2n ESO |
|
PROGRAMACIÓ LINEAL
|
22/4/19 |
Sistema d'inequacions lineals |
|
L'aplicació permet entrar fins a 6 inequacions lineals (conjunt de restriccions) i la funció objectiu. La regió factible apareix a la primera pantalla on també es poden veure els vèrtexs de la regió i avaluar-los amb la funció objectiu per localitzar els possibles màxims i mínims. Si fos necessari, es poden visualitzar els punts amb coordenades enteres de la regió factible.
|
|
|
El pots trobar a: 2n BATX MACS |
|
SIGNUM
|
31/12/18 |
Dodecaedre estrellat |
|
Construcció d'un dodecaedre estrellat amb 60 mòduls. Vídeo enllaçat amb el canal de youtube PAPIROmates.
|
|
|
El pots trobar a: PAPIROFLÈXIA |
|
PROPIETATS DE LES POTÈNCIES
|
1/10/18 |
Exercicis ThatQuiz |
|
Exercicis tipus test en els que has de triar la solució correcta.
|
|
|
El pots trobar a: 2n ESO |
|
ESTRELLA PENTAGONAL
|
26/12/17 |
Estrella pentagonal de papiroflèxia |
|
Construcció d'una doble estrella pentagonal. Vídeo enllaçat amb el canal de youtube PAPIROmates.
|
|
|
El pots trobar a: PAPIROFLÈXIA |
|
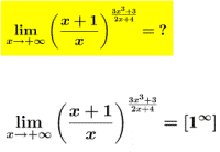
INDETERMINACIÓ [1∞]
|
7/10/17 |
Resolució de la indeterminació [1∞] |
|
Podem veure tots els passos de la resolució de la indeterminació [1∞] emprant una fórmula.
|
|
|
El pots trobar a: 2n BATX CCNN i MACS |
|
INDETERMINACIÓ [∞ - ∞] (II)
|
25/9/17 |
Resolució de la indeterminació [∞ - ∞] |
|
Podem veure tots els passos de la resolució de la indeterminació [∞ - ∞] quan la funció és el resultat de la diferència en la que hi ha una arrel.
|
|
|
El pots trobar a: BATX |
|
INDETERMINACIÓ [∞ - ∞] (I)
|
25/9/17 |
Resolució de la indeterminació [∞ - ∞] |
|
Podem veure tots els passos de la resolució de la indeterminació [∞ - ∞] quan la funció és el resultat de la diferència de fraccions algebraiques.
|
|
|
El pots trobar a: BATX |
|
LÍMIT D'UNA FUNCIÓ RACIONAL [0/0]
|
25/9/17 |
Resolució de la indeterminació [0/0] |
|
Podem veure tots els passos de la resolució de la indeterminació [0/0] d'una funció racional quan la x tendeix a un nombre determinat.
|
|
|
El pots trobar a: BATX |
|
LÍMIT D'UNA FUNCIÓ RACIONAL [∞/∞]
|
25/9/17 |
Resolució de la indeterminació [∞/∞] |
|
Podem veure tots els passos de la resolució de la indeterminació [∞/∞] d'una funció racional quan la x tendeix a ∞.
|
|
|
El pots trobar a: BATX |
|
LÍMIT GRÀFIC D'UNA FUNCIÓ RACIONAL A L'INFINIT
|
25/9/17 |
Resolució gràfica de la indeterminació [∞/∞] |
|
Podem comprovar visualment quan val el límit d'una funció racional quan la x tendeix a +∞ i quan tendeix a -∞.
|
|
|
El pots trobar a: BATX |
|
DERIVACIÓ LOGARÍTMICA
|
20/9/17 |
Derivació de funcions del tipus y=f(x)g(x) |
|
Quan volem derivar una funció que té forma de potència però la base és una funció que depèn de x i l'exponent també és una funció que depèn de x convé aplicar aquesta tècnica de derivació.
|
|
|
El pots trobar a: 2n BATX CCNN i MACS |
|
PAU Matemàtiques
|
10/8/17 |
Recull d'exàmens de les proves PAU de Matemàtiques |
|
Ja pots disposar de tots els exàmens de Matemàtiques des de l'any 2000 fins ara. Els exàmens estan ordenats per anys i convocatòries (juny-setembre).
|
|
|
Els pots trobar a: 2n BATX CCNN |
|
PAU MACS
|
10/8/17 |
Recull d'exàmens de les proves PAU de Matemàtiques aplicades a les Ciències Socials |
|
Ja pots disposar de tots els exàmens de MACS des de l'any 2000 fins ara. Els exàmens estan ordenats per anys i convocatòries (juny-setembre). |
|
|
Els pots trobar a: 2n BATX CCSS |
|
FIRENZE 2017
|
9/8/17 |
Viatge de fi de curs de 2n de batxillerat 2017 |
|
Vídeo amb el recull d'imatges del viatge dels de 2n de batxillerat que van fer a final de curs a Florència. Vídeo enllaçat amb el canal de youtube illasimpatia.
|
|
|
El pots trobar a: TUTORIA |
|
FLORÈNCIA 2016
|
9/8/17 |
Viatge de fi de curs de 2n de batxillerat 2016 |
|
Vídeo amb el recull d'imatges del viatge dels de 2n de batxillerat que van fer a final de curs a Florència. Vídeo enllaçat amb el canal de youtube illasimpatia.
|
|
|
El pots trobar a: TUTORIA |
|
INTER - FLORÈNCIA 2015
|
9/8/17 |
Viatge de fi de curs de 2n de batxillerat 2015 |
|
Vídeo amb el recull d'imatges del viatge dels de 2n de batxillerat que van fer a final de curs a Florència. Vídeo enllaçat amb el canal de youtube illasimpatia.
|
|
|
El pots trobar a: TUTORIA |
|
ESTEL DE ROSES
|
21/4/17 |
Kusudama |
|
En aquest vídeo podràs veure com fer un mòdul que et permetrà fer un icosaedre estrellat amb roses als vèrtexs. Idea molt indicada per a Sant Jordi. Vídeo enllaçat amb el canal de youtube PAPIROmates.
|
|
|
El pots trobar a: PAPIROFLÈXIA |
|
INTEGRAL DEFINIDA
|
7/1/17 |
Suma superior, inferior, del punt mitjà i trapezis |
|
En aquesta aplicació pots entrar una funció i definir l'interval. Veuràs les aproximacions gràfiques i aritmètiques de les sumes dels rectangles superiors, inferiors i del punt mitjà. També pots calcular la suma dels trapezis i, finalment, veure el resultat exacte.
|
|
|
El pots trobar a: 2n BATX CCNN |
|
ESTRELLA MODULAR
|
5/1/17 |
Estrelles regulars de papiroflèxia |
|
En aquest vídeo podràs veure com aconseguir fer un mòdul que et permetrà fer estrelles regulars de 4, 5, ... puntes. Vídeo enllaçat amb el canal de youtube PAPIROmates.
|
|
|
El pots trobar a: PAPIROFLÈXIA |
|
OCTAEDRE MODULAR
|
14/5/16 |
Poliedre regular de papiroflèxia |
|
En aquest vídeo podràs veure com aconseguir fer un octaedre regular amb 6 mòduls senzills de fer. Vídeo enllaçat amb el canal de youtube PAPIROmates.
|
|
|
El pots trobar a: 2n ESO i PAPIROFLÈXIA |
|
ROSA - KUSUDAMA
|
23/4/16 |
Idees pel Sant Jordi |
|
En aquest vídeo podràs veure com aconseguir fer una rosa en forma d'estrella. Vídeo enllaçat amb el canal de youtube PAPIROmates.
|
|
|
El pots trobar a: PAPIROFLÈXIA |
|
LÍMIT D'UNA FUNCIÓ EN UN PUNT
|
28/3/16 |
Càlcul gràfic aplicant la definició |
|
En aquesta aplicació pots entrar la funció i el punt en el que li vols calcular el límit. Observa que, aplicant la definició, una funció té límit en un punt si i només si els seus límits laterals coincideixen. Quan cliquis els botons dels límits laterals podràs veure gràficament cap a on van els seus límits.
|
|
|
El pots trobar a: 1r BATX CCNN i 1r BATX MACS |
|
CIRCUMFERÈNCIA: CENTRE I RADI?
|
7/2/16 |
Determinar el centre i el radi d'una circumferència |
|
L'aplicació genera una equació general de la circumferència. A continuació podràs veure els càlculs que et permetran trobar el centre i també el radi.
|
|
|
El pots trobar a: 1r BATX CCNN i 4art ESO |
|
CIRCUMFERÈNCIA: EQUACIONS
|
7/2/16 |
Equació reduïda i equació general |
|
Pots entrar les coordenades del centre de la circumferència i el seu radi. A continuació podràs veure com es calcula l'equació reduïda i també la general de la circumferència.
|
|
|
El pots trobar a: 1r BATX CCNN i 4art ESO |
|
PERÍMETRE D'UN QUADRILÀTER
|
31/1/16 |
Perímetre d'un quadrilàter donats els seus quatre vèrtexs |
|
Pots entrar les coordenades dels quatre vèrtexs del quadrilàter i comprovar com es calcula la longitud de cada costat per calcular el perímetre.
|
|
|
El pots trobar a: 1r BATX CCNN i 4art ESO |
|
ÀREA D'UN TRIANGLE
|
30/1/16 |
Àrea d'un triangle donats els seus tres vèrtexs |
|
Pots entrar les coordenades dels tres vèrtexs del triangle i comprovar com es calcula la longitud de la base i l'altura per calcular l'àrea.
|
|
|
El pots trobar a: 1r BATX CCNN i 4art ESO |
|
LLOCS GEOMÈTRICS: LES CÒNIQUES
|
28/1/16 |
Presentació molt visual de les còniques |
|
Presentació bàsica feta amb PREZI dels llocs geomètrics i les còniques estudiades a un curs de 1r de batxillerat.
Autor: Albert Hernando |
|
|
El pots trobar a: 1r BATX CCNN
|
|
CÒNIQUES
|
28/1/16 |
Web sobre còniques |
|
Hi trobaràs definicions, exemples, explicacions gràfiques i exercicis d'autoavaluació.
Autor: Miquel Bargadà Fort |
|
|
El pots trobar a: 1r BATX CCNN
|
|
RAONS TRIGONOMÈTRIQUES BÀSIQUES
|
10/1/16 |
Sinus, cosinus i tangent d'un angle |
|
Pots veure gàficament i numèricament com sorgeixen aquestes raons entre costats d'un triangle rectangle. Pots mantenir el radi amb la unitat o canviar-lo. També pots modificar l'angle.
|
|
|
El pots trobar a: 1r BATX CCNN i 4art ESO |
|
COORDENADES BINÒMIQUES-POLARS
|
30/12/15 |
Canvi de coordenades en un nombre complex |
|
Tens dues pantalles per veure com es canvien les coordenades amb totes les operacions. Pots moure el punt.
|
|
|
El pots trobar a: 1r BATX CCNN |
|
OPERACIONS AMB NOMBRES COMPLEXOS
|
28/12/15 |
Les operacions elementals |
|
Les operacions elementals resoltes pas a pas de dos complexos donats en forma binòmica.
|
|
|
El pots trobar a: 1r BATX CCNN |
|
ESTRELLA (STAR ORIGAMI)
|
24/12/15 |
Construcció pas a pas d'una estrella |
|
Vídeotutorial per obtenir una senzilla estrella. Vídeo enllaçat amb el canal de youtube PAPIROmates.
|
|
|
El pots trobar a: PAPIROFLÈXIA |
|
EXERCICIS DE RACIONALITZAR
|
30/9/15 |
Full pdf d'exercicis amb solucions per practicar la racionalització de fraccions.
Exercicis creats amb +GENI. |
|
|
El pots trobar a: 1r BATX CCNN
|
|
CALCULA LA DERIVADA
|
20/9/15 |
Deriva la funció que desitgis |
|
En aquesta aplicació pots entrar una funció i automàticament veure la seva derivada. Et pot ajudar a corregir exercicis que no saps si els tens bé. Compte: a vegades la solució està massa simplificada o, tot el contrari.
|
|
|
El pots trobar a: 2n BATX CCNN i MACS |
|
EL LLIBRE QUE VOLIA SER ROSA DE SANT JORDI
|
23/4/15 |
Idees pel Sant Jordi |
|
En aquest vídeo podràs veure com aconseguir fer una figura en forma de rosa doblegant els fulls d'un llibre. Vídeo enllaçat amb el canal de youtube PAPIROmates.
|
|
|
El pots trobar a: PAPIROFLÈXIA |
|
COR INFLABLE
|
6/4/15 |
Idees pel Sant Jordi o per Sant Valentí |
|
Com fer un cor que s'infla. És espectacular i sorprèn a tots. Ideal pel dia de Sant Valentí o per Sant Jordi. Vídeo enllaçat amb el canal de youtube PAPIROmates.
|
|
|
El pots trobar a: PAPIROFLÈXIA |
|
ROSA SENZILLA
|
6/4/15 |
Preparant Sant Jordi |
|
Videotutorial per fer una rosa molt senzilla. Una bona activitat per preparar la diada de Sant Jordi i/o divertir-nos amb els petits de casa. Vídeo enllaçat amb el canal de youtube PAPIROmates.
|
|
|
El pots trobar a: PAPIROFLÈXIA |
|
EXERCICIS DE SISTEMES D'EQUACIONS
|
7/2/15 |
Full pdf amb 20 exercicis de sistemes d'equacions 3x3 amb solucions.
|
|
|
El pots trobar a: 2n BATX CCNN i MACS
|
|
EXERCICIS DE CALCULAR LÍMITS
|
4/2/15 |
Full pdf amb 10 exercicis de límits amb solucions.
|
|
|
El pots trobar a: 1r BATX MACS |
|
ESTRELLA DE NADAL (CHRISTMAS STAR)
|
20/12/14 |
Construcció pas a pas d'una estrella |
|
Vídeotutorial per obtenir una senzilla estrella. Vídeo enllaçat amb el canal de youtube PAPIROmates.
|
|
|
El pots trobar a: PAPIROFLÈXIA |
|
INTEGRAL QUASIIMMEDIATA
|
14/12/14 |
Full pdf amb 16 exercicis d'integrals quasiimmediates amb la resolució completa.
|
|
|
El pots trobar a: 2n BATX CCNN
|
|
MATEMÀTICA FINANCERA
|
17/10/14 |
Web d'autoaprenentage amb exemples resolts |
|
Unitat didàctica d'aritmètica mercantil amb exemples i exercicis resolts.
Autors: Sílvia Cantieri i Mª José García |
|
|
El pots trobar a: 1r BATX MACS
|
|
ILLA SIMPATIA ES RENOVA!!!
|
27/9/14 |
Més funcional |
|
Fes una ullada a la web per veure els canvis. Si vols dir-me que et sembla i/o aconsellar-me sobre els canvis ho pots fer mitjançant l'apartat CONTACTAR.
|
|
EL TEOREMA DE PITÀGORES (puzzle-origami)
|
4/5/14 |
Construcció d'un puzzle i demostració del teorema |
|
Construcció amb papiroflèxia de les peces d'un puzzle amb les que es podrà demostrar el teorema de Pitàgores. Vídeo enllaçat amb el canal de youtube PAPIROmates.
|
|
|
El pots trobar a: PAPIROFLÈXIA |
|
EL TEOREMA DE PITÀGORES
|
4/5/14 |
Demostració visual |
|
Amb l'ajuda de la papiroflèxia es demostra el teorema de Pitàgores. Vídeo enllaçat amb el canal de youtube PAPIROmates.
|
|
|
El pots trobar a: PAPIROFLÈXIA |
|
DRAC
|
4/5/14 |
Drac de Sant Jordi
|
|
Vídeotutorial per obtenir un drac. Vídeo enllaçat amb el canal de youtube PAPIROmates.
|
|
|
El pots trobar a: PAPIROFLÈXIA |
|
ROSA
|
4/5/14 |
Rosa de Sant Jordi
|
|
Vídeotutorial per obtenir una rosa de paper. Vídeo enllaçat amb el canal de youtube PAPIROmates.
|
|
|
El pots trobar a: PAPIROFLÈXIA |
|
PUNT DE LLIBRE
|
4/5/14 |
Pràctic punt de llibre amb forma de cor |
|
Vídeotutorial per obtenir un senzill punt de llibre de solapa que té forma de cor. Vídeo enllaçat amb el canal de youtube PAPIROmates.
|
|
|
El pots trobar a: PAPIROFLÈXIA |
|
POSICIÓ RELATIVA PLA-PLA
|
31/3/14 |
Pla en equació general o en equacions paramètriques |
|
L'aplicació permet que entris els plans que tu vulguis. La resolució queda indicada amb la discusió dels vectors normals dels plans.
|
|
|
El pots trobar a: 2n BATX CCNN i GEOGEBRA |
|
DETERMINANT D'UNA MATRIU
|
1/2/14 |
Calculadora per calcular el determinant d'una matriu |
|
Amb aquesta aplicació pots practicar el determinant de matrius de dimensions fins 4x4.
|
|
|
El pots trobar a: 2n BATX CCNN i GEOGEBRA |
|
NOMBRE x BINOMI
|
14/1/14 |
Exercicis ThatQuiz |
|
Exercicis tipus test en els que has de triar la solució correcta al producte proposat.
|
|
|
El pots trobar a: 2n ESO |
|
MONOMI x BINOMI
|
14/1/14 |
Exercicis ThatQuiz |
|
Exercicis tipus test en els que has de triar la solució correcta al producte proposat.
|
|
|
El pots trobar a: 2n ESO |
|
EXTREURE FACTOR COMÚ
|
14/1/14 |
Exercicis ThatQuiz |
|
Exercicis senzills en els que ja s'ha extret el factor comú i tu hauràs de completar l'expressió que queda dins del parèntesi.
|
|
|
El pots trobar a: 2n ESO |
|
DODECAEDRE DE NADAL
|
17/12/13 |
Construcció pas a pas d'un dodecaedre modular |
|
Vídeotutorial per obtenir un dodecaedre molt curiós amb les cares en forma d'estrella. Vídeo enllaçat amb el canal de youtube PAPIROmates.
|
|
|
El pots trobar a: PAPIROFLÈXIA |
|
PIRÀMIDE EGÍPCIA
|
2/8/13 |
Senzilla piràmide egípcia de papiroflèxia |
|
Vídeotutorial per obtenir una piàmide de papiroflèxia. La piràmide és de base quadrangular i les cares laterals són triangles equilàters. Vídeo enllaçat amb el canal de youtube PAPIROmates.
|
|
|
El pots trobar a: PAPIROFLÈXIA |
|
DODECAEDRE MODULAR
|
19/7/13 |
Construcció pas a pas d'un dodecaedre modular |
|
Vídeotutorial per obtenir un dodecaedre molt bonic. Vídeo enllaçat amb el canal de youtube PAPIROmates.
|
|
|
El pots trobar a: PAPIROFLÈXIA |
|
PAPER TRIANGULAR EQUILATERAL
|
19/7/13 |
Paper per fer papiroflèxia modular |
|
Vídeotutorial per obtenir papers en forma de triangle equilàter partint d'un full A3. Vídeo enllaçat amb el canal de youtube PAPIROmates.
|
|
|
El pots trobar a: PAPIROFLÈXIA |
|
DODECAEDRES MÀGICS
|
19/7/13 |
Es tranformen espectacularment!!!
|
|
Vídeo enllaçat amb el canal de youtube PAPIROmates.
|
|
|
El pots trobar a: PAPIROFLÈXIA |
|
DODECAEDRE PLEGABLE
|
19/7/13 |
Fàcil de plegar i desplegar!!! |
|
Vídeo enllaçat amb el canal de youtube PAPIROmates.
|
|
|
El pots trobar a: PAPIROFLÈXIA |
|
